Biology

5 items

Chpt5 Single Phase Systems Pre
Chpt5 Single Phase Systems Pre
Herr Edited
Herr Edited
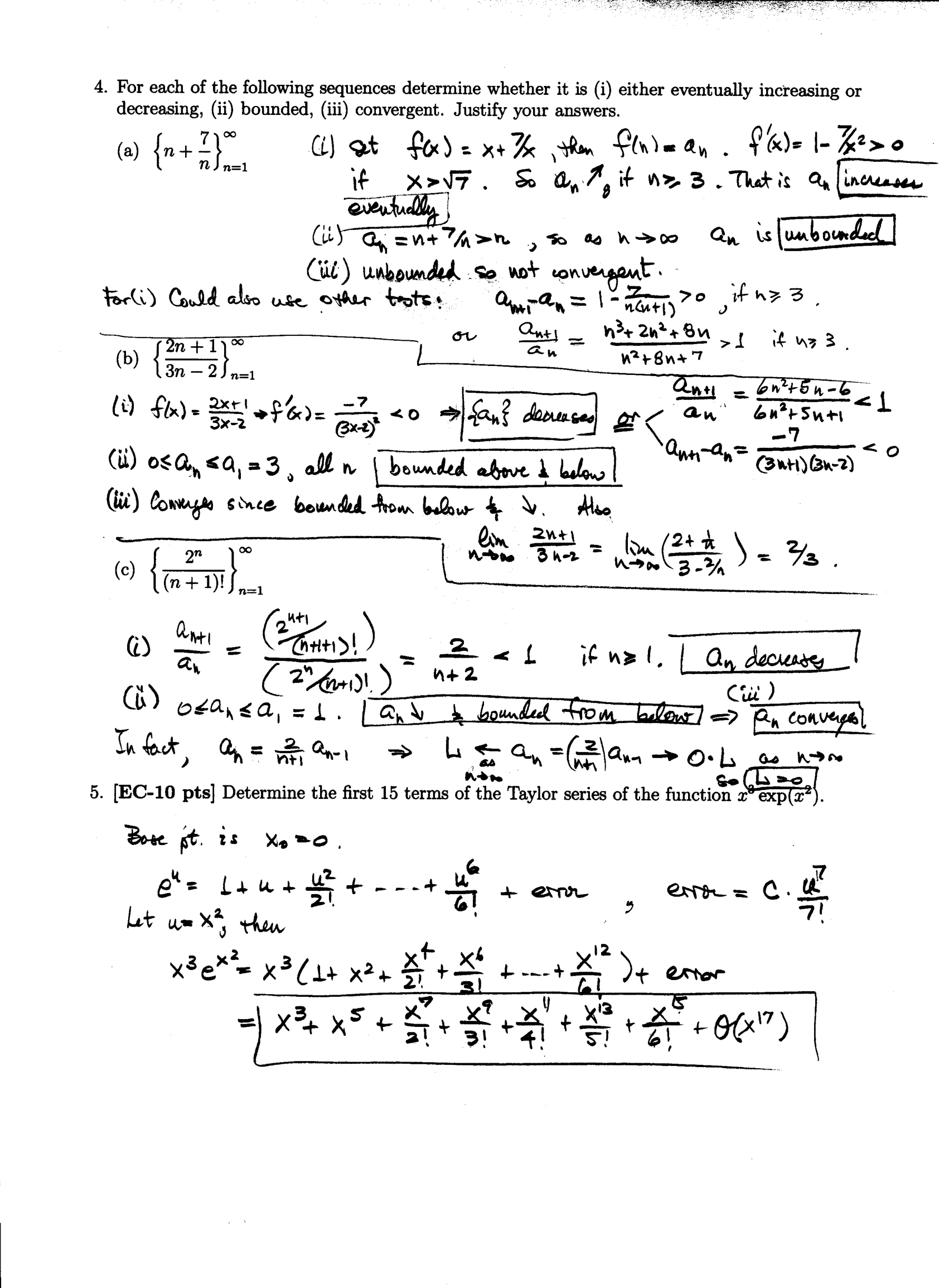
Solutions 3
Solutions 3
Crowneuks1
Crowneuks1
To The Deep Water
To The Deep Water